和平精英设置语音辅助

和平精英辅助什么原理好用

和平精英辅助的原理主要依赖于修改游戏数据、增强玩家视野和瞄准辅助等技术

  • 144
和平精英脚本辅助网下载

和平精英脚本辅助网下载是许多玩家在寻找游戏辅助工具时常常关注的话题。这

  • 193
和平精英辅助2.0下载

和平精英辅助2.0下载可以通过以下几个网站获取: 和平精英免费透视辅助专业

  • 104
和平精英辅助瞄准器软件

和平精英辅助瞄准器软件是一种致力于提高玩家在游戏《和平精英》中射击精度

  • 106
和平精英咪咪辅助破解版

和平精英咪咪辅助破解版是一款专为热门游戏《和平精英》设计的辅助工具,旨

  • 118
和平精英辅助器永久免费

和平精英辅助器的永久免费获取已经引起了许多玩家的关注。目前,市场上有一

  • 120
和平精英如何自已做辅助

在《和平精英》中,自制辅助工具的过程涉及一定的技术操作和心理准备。尽管

  • 75
和平精英好用的辅助软件

和平精英是当今热门的射击类手游,许多玩家为了提高游戏体验与胜率,常常寻

  • 168
和平精英内部辅助交流群

和平精英内部辅助交流群主要是为广大玩家提供讨论、分享与辅助工具使用经验

  • 57
和平精英星空辅助器下载

和平精英星空辅助器是一款受欢迎的游戏辅助工具,玩家可以通过它获得在游戏

  • 55
和平精英主播吃鸡辅助器

在《和平精英》中,越来越多的主播利用吃鸡辅助器来增强他们的游戏体验和提

  • 80
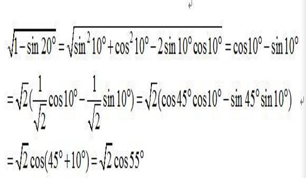
和平精英辅助角公式数学

辅助角公式是三角函数中的一个重要工具,广泛应用于数学分析和应用问题中。

  • 103
和平精英主播辅助器推荐

和平精英是一款备受欢迎的多人在线射击游戏,吸引了大量游戏主播的参与。在

  • 95
和平精英购买辅助官网网址

和平精英的购买辅助官网网址是: 辅助工具的概述 在《和平精英》这款多人在

  • 111
和平精英补丁辅助下载教程

和平精英补丁辅助下载教程 和平精英是一款备受玩家喜爱的游戏,为了提升游

  • 187
和平精英外g辅助怎么下

为了下载《和平精英》外挂辅助,您可以遵循以下步骤: 下载步骤 寻找辅助网

  • 197
和平精英昭君辅助安卓版

和平精英昭君辅助安卓版是一款专为《和平精英》玩家设计的游戏辅助工具,其

  • 122
和平精英阿米巴辅助怎么用

阿米巴辅助是一款专为《和平精英》游戏玩家设计的辅助工具,旨在提升玩家的

  • 131
和平精英辅助器自动瞄准

在《和平精英》中,辅助器自动瞄准被视为一种提高玩家射击精度的工具,特别

  • 196
和平精英m762辅助瞄准

M762是《和平精英》中一款极具人气的武器,因其高射速和稳定性受到玩家的青

  • 197
和平精英免卡辅助软件下载

和平精英是一款备受玩家喜爱的手机游戏,为了提升游戏体验,许多玩家选择下

  • 152
和平精英中的辅助点怎么用

在《和平精英》中,辅助点是一种非常实用的功能,可以帮助玩家更好地控制游

  • 86
和平精英猎狗辅助软件

和平精英猎狗辅助软件是一种在游戏《和平精英》中广泛使用的第三方工具,其

  • 149
在和平精英如何找到辅助

在《和平精英》中寻找辅助工具的方法有多种。辅助工具通常用于提升玩家的游

  • 181
和平精英大乔辅助怎么用

和平精英中的大乔是一个非常强力的辅助角色,正确使用大乔能够极大提升团队

  • 56
和平精英手柄辅助器六指

和平精英手柄辅助器六指是一种专为流行手游《和平精英》设计的游戏外设,能

  • 68
和平精英龙骑士辅助器下载

和平精英龙骑士辅助器是一款热门的游戏辅助工具,以下是关于该辅助器的下载

  • 112
和平精英最新辅助方式下载

和平精英是一款备受欢迎的多人在线射击游戏,随着游戏的不断发展,辅助方式

  • 171
和平精英怎么开辅助教程

要开启《和平精英》的辅助功能,您可以按照以下步骤进行操作: 开启辅助瞄

  • 201
和平精英搞笑辅助教学软件

和平精英搞笑辅助教学软件旨在为玩家提供轻松有趣的游戏体验,通常包括诸如

  • 176
和平精英小土狗辅助器下载

和平精英小土狗辅助器是一款专为《和平精英》游戏玩家设计的辅助工具,能够

  • 57
和平精英辅助软件防封号

要防止在《和平精英》中因为使用辅助软件而导致账户被封号,玩家需要采取一

  • 147
和平精英天神辅助激活码

和平精英的天神辅助激活码是用于激活游戏辅助功能的一种密码。玩家可以通过

  • 76
和平精英辅助瞄准拉枪视频

在《和平精英》这款广受欢迎的射击游戏中,辅助瞄准功能的使用引发了不少讨

  • 97
模拟器吃鸡pc透视辅助

关于模拟器吃鸡PC透视辅助的文章 在近年来的电子竞技游戏中,"吃鸡"(Battle

  • 172
和平精英复仇者联盟辅助

和平精英作为一款热门手游,吸引了大量玩家的关注和参与。在和平精英的游戏

  • 152
和平精英手机压枪怎么调

在《和平精英》中,压枪技巧是影响射击精度和表现的重要因素之一。合理的压

  • 103
和平精英辅助器软件的推荐

和平精英辅助器软件推荐 在移动游戏《和平精英》中,玩家们追求更高的游戏

  • 190
和平精英火花辅助文本在哪

和平精英的火花辅助文本主要位于游戏设置中的基础设置部分。玩家可以通过打

  • 111
和平精英怎么开启辅助镜

和平精英是一款备受欢迎的射击游戏,辅助镜作为提升准确性的重要工具,在游

  • 77
华为和平精英吃鸡辅助神器

华为和平精英吃鸡辅助神器是一种旨在提升游戏体验的工具,尤其是在竞技类游

  • 158
和平精英瞄准键可以压枪

在《和平精英》中,压枪技巧对于提升玩家的射击精度和战斗表现至关重要。特

  • 128
和平精英怎么关枪口辅助

在《和平精英》中,枪口辅助功能可以帮助玩家在射击时更好地对准目标。然而

  • 182
和平精英钢铁侠辅助官方

和平精英钢铁侠辅助是一款为《和平精英》这款战术竞技手游提供辅助功能的工

  • 100
和平精英新人辅助瞄准器

辅助瞄准器在《和平精英》中是一个针对新手玩家设计的重要功能,旨在提高他

  • 155
和平精英压枪盒子有用吗

和平精英中的压枪盒子确实有用。它能够帮助玩家更好地控制武器后坐力,提升

  • 125
和平精英辅助免费无广告

和平精英是一款在中国广受欢迎的多人射击游戏,而对于许多玩家而言,使用辅

  • 102
和平精英大脸猫辅助下载

和平精英大脸猫辅助下载是一款专门针对《和平精英》游戏的辅助工具,旨在提

  • 167
白宋解说和平精英压枪

白宋是一位知名的和平精英解说员,他在游戏中的压枪技巧备受玩家们的关注和

  • 104
和平精英辅助神器排名前1

根据现有信息,和平精英辅助神器排名第一的是“自瞄神器”,这款神器以其高

  • 151
和平精英辅助杆有什么用

和平精英辅助杆是一种用于提升游戏体验的设备,主要通过辅助玩家在游戏中更

  • 80
和平精英辅助工具手机版

和平精英的辅助工具手机版主要是设计用于玩家在游戏中提升体验和竞争力的各

  • 193
和平精英仙人辅助提卡网

和平精英仙人辅助提卡网是一个专注于为《和平精英》游戏玩家提供各种辅助工

  • 164
和平精英akm使用攻略六倍压枪

在《和平精英》中,AKM是一款备受玩家青睐的突击步枪,凭借其高额的单发伤害

  • 188
和平精英辅助器6.0下载

和平精英辅助器6.0下载方法主要有以下几种途径: 通过网页下载: 您可以访问

  • 159
和平精英屏幕压枪不灵

在《和平精英》中,很多玩家在使用屏幕压枪时会遇到压枪不灵的问题。这个问

  • 129
和平精英oppo辅助器

和平精英Oppo辅助器是专为Oppo手机用户设计的一款辅助工具,它可以提升游戏体

  • 187
和平精英小贝灵敏度压枪

小贝作为《和平精英》中的知名角色,灵敏度压枪的设置至关重要,正确的灵敏

  • 165
免费准星辅助器 和平精英

免费准星辅助器是一类旨在提高射击精度和游戏体验的工具,尤其在以战术射击

  • 75
和平精英正式服辅助软件

和平精英是一款广受欢迎的手游,但在激烈的游戏竞争中,许多玩家寻求通过辅

  • 136
和平精英压枪教程m24

在《和平精英》中,M24是一款强劲的狙击步枪,以其高伤害和精准度受到许多玩

  • 124
和平精英辅助低价发卡网

和平精英辅助低价发卡网是指专门出售与《和平精英》这款热门手游相关的辅助

  • 148
和平精英抠脚辅助软件下载

和平精英抠脚辅助软件下载的准确答案是:可以通过多种来源下载相关辅助软件

  • 124
和平精英压枪怎么压露手

在《和平精英》中,“压枪”是影响射击精准度的一个重要技巧,而“压露手”

  • 162